18-19 (3ª parte)
Este artículo es un estudio de la figura del Rombo del año 2006, en el que se encuentran las razones matemáticas entre las diagonales, los focos, los lados y algunas otras partes de la figura. Es un estudio geométrico que se apoya con formulación matemática.
Este trabajo está orientado al estudio matemático del dibujo número 1, que fue el primero de toda la serie de los dibujos geométricos del Rombo. Inicialmente, salió en la revista 7 de la SFR, pero por motivos de espacio y porque el tema está bastante diferenciado del puramente geométrico, he preferido dedicarle un número aparte.
Aunque en la 6º Dimensión, coincidan geometría y matemáticas, muchas veces, sucede que, en nuestro cerebro, no parece ser del todo así y prefiero de este modo, separar un poco los dos temas. Es un estudio muy elemental, pero en su día, me hizo gracia, y lo escribí juntamente con la parte de las figuras. Ahora, prefiero separarlas porque parece que en la distancia, se llevan mejor.

Dibujo 1
Para este estudio, tendremos la ayuda inestimable del teorema de Pitágoras, que nos ayudará a calcular los diferentes valores del Rombo a partir del hexágono regular.
Veréis que son solamente 8 dibujos y cada uno de ellos tiene una explicación de las operaciones que se realizan.
1. DETERMINACION DE MEDIA DIAGONAL MENOR DEL ROMBO
Partimos de un hexágono. El punto central es O. La circunferencia que ha permitido dibujar el hexágono tiene radio R, que es equivalente a cualquiera de sus lados. Ahora, estudiaremos el triángulo BOA. Intentaremos determinar la apotema OI. Esta apotema será la clave para entender todos los posteriores dibujos.

Que es la fórmula que relaciona el radio y la apotema del hexágono (que en nuestro caso es la mitad de la diagonal menor del Rombo). Para un Rombo construido con un radio de 11cm, la mitad de la diagonal menor valdría:
11 x √3
Media diagonal menor = ________________ = 9.526279442
2
2. LA DIAGONAL MENOR DEL ROMBO PARTIENDO DE LA APOTEMA
Si observamos el dibujo, veremos que la diagonal menor es el doble que OI, (la apotema hallada) así que deducimos :

Que es la fórmula que nos relaciona el Radio de la circunferencia exterior y la diagonal menor del Rombo.En un Rombo hecho con un radio de 11 cm, la diagonal menor valdría
d = 11 √3 = 19.05255888
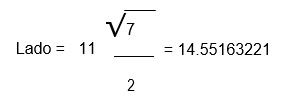
3. VALOR DE UN LADO DEL ROMBO
Disponemos de un triángulo en el que conocemos dos lados y queremos determinar el tercero.
Conocemos un cateto, conocido como R, al que le daremos el valor R
y el otro, nombrado d cuyo valor es
R √3
______
2

Queremos hallar el valor h, que es la hipotenusa del triangulo y que corresponde al valor de todos los lados del Rombo.
Por Pitágoras, tenemos que:

Con lo que obtenemos el valor que íbamos buscando. El valor de cada lado del Rombo está relacionado con el radio de la circunferencia de esta manera.
En nuestro Rombo, cada lado vale:

Con lo que obtenemos el valor que íbamos buscando. El valor de cada lado del Rombo está relacionado con el radio de la circunferencia de esta manera. En nuestro Rombo, cada lado vale:

4. HALLANDO LA DIAGONAL MAYOR DEL ROMBO

Se trata de determinar la Diagonal Mayor del Rombo. Conocemos la hipotenusa del Rombo y un cateto, que es media diagonal menor. Intentaremos hallar el otro cateto, que es la mitad de la diagonal mayor
Sabemos que un cateto que en este caso es media diagonal menor mide:
R √ 3
‾‾‾
2
Y que la hipotenusa, que es un lado del Rombo vale:
R √ 7
‾‾‾
2
Por lo tanto, aplicaremos Pitágoras para hallar el cateto que nos falta.

Es decir, el cateto es igual al radio. Como que la Diagonal mayor es igual a dos radios tenemos que:
D = 2 R.
En nuestro Rombo Diagonal mayor igual a 2 x 11 = 22 cm.
5. RELACION ENTRE LAS DIAGONALES DEL ROMBO
Buscaremos una relación entre ambas diagonales. Partimos de dos datos ya conocidos. Por un lado, la Diagonal Mayor, que es igual a 2R y la diagonal menor, cuyo valor determinado fue determinado antes.

Diagonal Mayor = 2R
Diagonal menor = R√3
Estudiamos la segunda ecuación:

Con lo que obtenemos la Diagonal mayor a partir de la menor.
Podemos ahora, realizar lo inverso e ir a determinar la diagonal menor a partir de la mayor. Partimos otra vez de las primeras igualdades.

Con lo que obtenemos la diagonal menor a partir de la mayor.
Vamos a realizar el cálculo práctico de los valores que hemos hallado Veremos si coinciden los valores de la fórmula con las cifras conocidas:
La Diagonal mayor se obtiene multiplicando la diagonal menor por el factor de expansión.
2
D = d _____ (Factor de expansión)
√ 3
En nuestro caso
19.05255888 x 2
D = __________________ = 22
√3
La diagonal menor se halla multiplicando la Diagonal Mayor por el factor de contracción
√3
d = D ________ (Factor de contracción)
2
22 x √3
En nuestro caso d = _______________ = 19.0525888
2
6. RELACION ENTRE DIAGONALES Y FOCOS DEL ROMBO
Intentaremos hallar la relación entre las diagonales y los focos

La diagonal mayor es igual a dos radios
D = 2R
Como que el radio es igual 2 focos
D = 4F
Sabemos por haberlo hallado que la diagonal menor es igual a
d = R √ 3
y sustituyendo R por 2F, tenemos que
d = 2F √ 3
de donde obtenemos las dos fórmulas que relacionan diagonales y focos
D = 4F
d = 2F √ 3
En nuestro Rombo D = 4 x 5.5 = 22
d = 2 x 5.5 x √ 3 = 19.05255888
7. CALCULO DE LA DISTANCIA FOCO - ID
Determinaremos la distancia entre Foco e ID. Sabemos que la circunferencia exterior al hexágono está hecha con Radio R, que es igual al doble de OF. Entonces, OF = R/2. También conocemos a OID, cuyo valor hemos hallado al determinar la apotema y que era…

Con lo que tenemos que la distancia desde el Foco a ID es igual al Radio En el Rombo la distancia entre el Foco e ID es igual al Radio = 11
8. VALOR DEL FOCO DEL ROMBO
Partimos del triángulo ADO. Sabemos que la apotema AF, tiene el mismo valor que la mitad de la diagonal menor del Rombo. Según determinamos antes, el valor de AF era:

FO = R / 2
Vemos que el Foco es la mitad del radio de la circunferencia. Entonces, tendremos que la distancia entre focos ( F-F’) será igual a R.
F – F’ = R
En el Rombo, la distancia entre el foco y el centro es
FO = 11/ 2 = 5.5 cm.
Y la distancia entre focos
F-F’ = 11 cm.
El único motivo por el que hice los cálculos antes expuestos, es que buscaba alguna razón matemática que me dijera algo, que me diera alguna pista acerca de la estructura interna del Rombo. Me gustó encontrar la relación entre las diagonales del Rombo, al igual que ver la importancia que empezaba a cobrar la situación de los focos. Empecé a darle más reconocimiento al hexágono exterior y al radio de la circunferencia.
Es por éste último dato, que cuando buscaba la presencia del número Fi dentro de la figura, me centré en el radio y en el hexágono interior del que se habla multitud de veces en el trabajo de los dibujos. Las matemáticas, sirvieron para esto, y quizá para algo más. Pero, del número Fi y de su presencia en la SFR, hablaremos otro día.
